NEP-20 CURRICULUM FOR UNDER GRADUATE PROGRAMMES UNDER NORTH EASTERN HILL UNIVERSITY
Three or Four-Year Undergraduate Programmes in Various Disciplines
1) The three-year undergraduate programmes shall be leading to a Bachelor's degree in single major or multidisciplinary programme.
2) The four-year undergraduate programmes shall be leading to a Bachelor's degree (Honours) or a Bachelor's degree (Honours with Research).
3)  The duration of the undergraduate programmes shall be three or four years evenly spread over six or eight semesters, respectively, with exit and re-entry options.
Credits and Contact Hours
1)One credit shall be assigned for 15 contact hours of teaching for theory and 30 contact hours for practical or lab work, project work, field-based leaning, community engagement, tutorials, internship, etc.
Credit-Course Structure by Academic Year- cum-Exit Point
1) First Academic Year (2 Semesters - 40 credits): Major Courses (8 credits), Minor Courses (8 credits), Multidisciplinary Courses (6 credits), Ability Enhancement Courses (6 credits), Skill Enhancement Courses (6 credits), and Value Added Courses (6 credits).
2) Students exiting the programme shall be awarded an undergraduate (UG) Certificate on successful completion of one internship/vocational/ apprenticeship/ community and service/ field-based learning or minor project of 4 credits (120 credit hours) in addition to 40 credits. An exit student who has successfully completed 40 credits may apply for fresh admission to the second year within a period of three years.
3) Second Academic Year (2+2 Semesters 80 credits): Major Courses (32 credits), Minor Courses (8 credits), Multidisciplinary Courses (9 credits), Ability Enhancement Courses (8 credits), Skill Enhancement Courses (9 credits), Value Added Courses (6 credits), and Vocational Education and Training (Minor Courses - 8 credits).
4) Students exiting the programme shall be awarded a UG Diploma on successful completion of one internship/vocational/apprenticeship/community and service/field-based learning or minor project of 4 credits (120 credit hours) in addition to 80 credits. An exit student who has successfully completed 80 credits may apply for fresh admission to the third year within a period of three years.
5) Third Academic Year (2+2+2 Semesters 120 credits): Major Courses (60 credits), Minor Courses (12 credits), Multidisciplinary Courses (9 credits), Ability Enhancement Courses (8 credits), Skill Enhancement Courses (9 credits), Value Added Courses (6 credits), Vocational Education and Training (Minor Courses 12 credits), and Internship, Apprenticeship, and such (4 credits). Core courses shall be substituted for the major and minor courses in a multidisciplinary programme.
6) Fourth Academic Year (2+2+2+2 Semesters 160 credits): Major Courses (80 credits), Minor Courses (20 credits), Multidisciplinary Courses (9 credits), Ability Enhancement Courses (8 credits), Skill Enhancement Courses (9 credits), Value Added Courses (6 credits), Vocational Education and Training (Minor Courses 12 credits), Internship, Apprenticeship, and such (4 credits), Research Project/Dissertation or 3 Additional Courses (12 credits).
Online Learning Courses
1) A student may earn up to 40% of credits in each academic year from MOOCs through SWAYAM, excluding vocational, internship, and practicum.
2) Credits to be earned through MOOCs shall be as prescribed by the affiliating University under relevant Regulations on Online Learning Courses through SWAYAM
Eligibility and Criteria for Admission
1) A candidate must obtain a Senior Secondary School Leaving Certificate or Higher Secondary Certificate on successful completion of Grade 12 examination or any other equivalent examination from any recognized Board of Secondary Education.
2) Admission process shall be based on marks/scores in the Common University Entrance Test (CUET) conducted by the National Testing Agency (NTA), or any other authorized agency approved by the affiliating University.
3) Admission to the second, third, and fourth-academic year of a programme shall be given to those candidates exiting the programme after the first, second, and third-academic year, respectively. Admission criteria shall be as notified by the College.
4) Students securing at least 75% marks in aggregate on completion of the third academic year shall be eligible for a 4-year Bachelor's degree programme in Honours with Research. Students securing less than 75% shall be eligible for undertaking Honours only.
Examination and Evaluation
1) There shall be an examination at the end of each semester as per the Semester Calendar for the UG programmes.
2) The schedule of end-semester examinations and the pattern of continuous assessment and evaluation shall be laid down by the University.
3) Evaluation of each course/paper shall be based on the student's performance in the Continuous Assessment and the End-Semester Examination.
4) Each course shall carry maximum marks/credits as prescribed by the University. For the purposes of determining the marks/credits obtained by a student in any course/paper, the credit weightage assigned to the Continuous Assessment and the End-Semester Examination shall be 1: 3.
5) Candidates shall be eligible to move on to the next semester without waiting for the results of End- Semester Examination(s) or without fulfilling the credit requirements.
Improvement and Revaluation
1) Students securing a grade point of 6.0 or below may be allowed to repeat/improve upon a paper/course within a maximum period of six years for the 3-year Bachelor's degree and seven years for the 4-year Bachelor's degree.
2) A student shall be allowed to repeat a failed paper and clear that paper within a maximum period of fourteen, twelve, eight, and four semesters for the fourth, third, second, and first-year programmes, respectively, beyond which the student shall be required to seek fresh admission.
3) Provided that in exceptional circumstances, like maternity leave/serious illness; a student shall be granted two more semesters, beyond which the student shall be required to seek fresh admission.
Grade Cards, Letter Grades and Grade Points
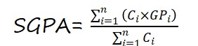
1) The Semester Grade Point Average (SGPA) shall be calculated only for those students who have passed all the credit papers/courses of a given semester. SGPA may be calculated as follows:

where is the number of credits assigned to a paper/course, is the grade point scored in that paper and n is the total number of credit papers in a particular semester.
2) On successful completion of the programme, the Cumulative Grade Point Average (CGPA) may be calculated as follows:

where N is the total number of credit courses for the programme.
3) The SGPA and CGPA shall be rounded off to two decimal points and reported in the transcripts.
4) The letter grade and grade point shall be as follows:
| Letter Grade | Grade Point | % Marks Range | Description |
|---|---|---|---|
| O | 10 | 90 to 100 | Outstanding |
| A+ | 9 | 80 to <90 | Excellent |
| A | 8 | 70 to <80 | Very Good |
| B+ | 7 | 60 to < 70 | Good |
| B | 6 | 50 to < 60 | Average |
| P | 5 | 40 to < 50 | Pass |
| F | 4 | Below 40 | Fail |
6) After the results of a semester are declared, Grade Cards shall be issued to each student, which contains the list of papers, codes, grades, grade points, marks obtained, and such
7) The credits earned by a student in the End-Semester Examinations shall be deposited in the Academic Bank of Credits (ABC). The validity of credits earned will be up to a maximum period of seven years or as prescribed under the ABC.
Course Structure and Subject Combination for Undergraduate Degree Programmes in Various Disciplines and Professional Courses (Courses and Coding Structure)
1) 100 – 199: Foundation or Introductory Courses shall be required to gain the basic knowledge and understanding of the subjects that are prerequisite for courses in the major subject or discipline of interest. These courses shall focus on foundational theories, perspectives, concepts, principles, methods and procedures with a view to acquainting students with conceptual understanding and critical thinking as a broad basis for taking up more advanced courses.
2) 200-299: Intermediate Level Courses including subject-specific courses shall be to meet the credit requirements for minor or major areas of learning. These courses shall also be part of a major subject that can be prerequisite for major courses of advanced level.
3) 300-399: Higher-Level Courses shall be required for the award of a degree in a major discipline or subject.
4) 400-499: Advanced Courses shall include lecture courses with practicum, seminar-based courses, research methodology, advanced laboratory experiments, software training, research projects, and such.
5) The broad categories of course structure and minimum credit requirements for the 3-year and 4-year undergraduate (UG) Programmes shall be as given in the Table below:
| Sl. No. | Broad Category of Courses | Credits Per Course | Minimum Credit Requirement |
|---|---|---|---|
| 1 | Major/Core Course | 4 | 3-year UG | 3-year UG |
| 2 | Minor/Core Course | 4 | 60 (15 papers) | 80 (20 papers) |
| 3 | Vocational Education & Training (Minor) | 4 | 12 (3 papers) | 20 (5 papers) |
| 4 | Multidisciplinary Course (MDC) | 3 ½ | 12 (3 papers) | 12(3 papers) |
| 5 | Ability Enhancement Courses (AEC) | 3 | 9 (3 papers) | 9 (3 papers) |
| 6 | Skill Enhancement Courses (SEC) | 3 | 8 (3 papers) | 8 (3 papers) |
| 7 | Value Added Courses (VAC) | 3 | 9 (3 papers) | 9 (3 papers) |
| 8 | Internship/Apprenticeship/etcetera | 4 | 6 (2 papers) | 6 (2 papers) |
| 9 | Research Project/Dissertation/Advanced Courses | 12 | 4 (1 paper) | 4 (1 paper) |
| 120 Credits | 160 Credits |
Curricular Components
1) The curricular framework shall be comprised of (i) Major/Core Course, (ii) Minor/Core Course, (iii) Vocational Education & Training (Minor), (iv) Multidisciplinary Course (MDC), (v) Ability Enhancement Courses (AEC), (vi) Skill Enhancement Courses (SEC), (vii) Value Added Courses (VAC), and (viii) Internship/Apprenticeship/etcetera, and (ix) Research Project/ Dissertation/ Advanced Courses.
2) Major Courses shall be courses/papers of main focus or in-depth study of a major subject-subject specific courses. Students shall be required to pass major courses of 60 credits for a 3-year Bachelor's degree, and 80 credits for a 4-year Bachelor's degree.
3) Minor Courses shall be major/core courses offered by the concerned subjects as interdisciplinary/open courses to specific subjects or a combination of cognate subjects, e.g., a major course in Sociology may be a minor course in Anthropology or vice versa. Minor courses shall be intended to help a student gain a broader understanding beyond the major discipline. Students must pass minor courses of 12 credits and 20 credits of their choices to qualify for the 3-year and 4-year Bachelor's degrees respectively.
4) Multidisciplinary Courses (MDC) shall be introductory-level courses/papers concerning more than two disciplines under any broad category of disciplines, namely, (1) Natural and Physical Sciences, (2) Mathematics, Statistics, and Computer Applications, (3) Library, Information, and Media Sciences, (4) Commerce and Management, and (5) Humanities and Social Sciences. A multidisciplinary course relating to any of the above categories of disciplines shall be intended to broaden the intellectual experience and conceptual understanding of the students within and beyond that category of disciplines. For example, a course on "Introductory Life Sciences" may be helpful not only to students of Natural and Physical Sciences, but also to students of Humanities and Social Sciences, etc. Similarly, courses on "Mathematics in Daily Life" (concerned with Natural and Physical Sciences) and "Culture and Society" (concerned with Humanities and Social Sciences) may be helpful to students across disciplines or categories of disciplines. Students shall be qualified for the 3-year and 4-year Bachelor's degrees on successful completion of 9-Credit MDC of their choices.
5) Ability Enhancement Courses (AEC) shall be aimed at achieving competency in a modern Indian language (MIL) and in the English language with special emphasis on language and communication skills, including critical reading and academic writing skills, understanding of the structure and complexity of the language/literature related to chosen MIL and English language. Students shall be qualified for the 3-year and 4-year Bachelor's degrees on successful completion of 8-Credit AEC of their choices.
6) Skill Enhancement Courses (SEC) shall be aimed at imparting practical skills, hands-on-training, soft skills, and such, to enhance the employability of students, keeping in view the students' needs and available institutional resources Students shall be required to pass 9-Credit SEC of their choices to qualify for the 3-year and 4-year Bachelor's degrees.
7) Value-Added Courses (VAC) shall be to acquaint the students with the knowledge and understanding of environmental science, digital and technological solution, health and wellness, yoga education, sports, contemporary India inclusive of constitutional values, fundamental rights and duties, history, culture, etc. Students shall be required to pass VAC-140 of 3 credits and 3-Credit VAC of their choices (VAC-190 to 199) to qualify for the 3-year and 4-year Bachelor's degrees.
8) Vocational-Education and Training Courses (VTC) shall be Minor Courses that form an integral part of the UG programmes to impart skills along with theory and practical. Students shall be qualified for the 3-year and 4-year Bachelor's degrees on successful completion of 12-Credit VTC of their choices.
9) Internship shall be a course requiring a student to participate in a professional activity or actual life experience with an entity external to the educational institution, such as local firms, industry, training labs, government or private organizations, and such, identified by the Colleges and approved by the Academic Council. Students shall be required to successfully complete an internship/apprenticeship/community engagement and service/field-based learning or minor project of 4 credits to get a UG Certificate/Diploma and a Bachelor's degree.
Semester- Course Structure and Credit Distribution.
The semester-course structure and credit distribution shall be as provided in the following Tables (1 - 8):
| Courses Code | Course Title | Credits |
|---|---|---|
| SUB-100* | Two Major/Minor/Core Courses with four credits each | 8 |
| MDC-110/111/112 /113/114/115/.../119 | As approved by the Academic Council & provided by the College | 3 |
| AEC-120/121/.../129 | MIL/Alternative English/Other Eight Courses, if any, as approved by the Academic Council | 3 |
| SEC-130/131/ 132/.../139 | As approved by the Academic Council& provided by the College | 3 |
| VAC-140 | Environmental Studies | 3 |
| 20 |
Two Courses of SUB-100 shall be from two cognate subjects, e.g., SOC-100 and ANT-100. Supposing SOC-100 is a major course, ANT-100 will be a minor course or vice versa.
| Course Code | Course Title | Credits |
|---|---|---|
| SUB-150 | Two Major/Minor/Core Courses with four credits each | 8 |
| MDC-160/161/162 /163/164/.../169 | As approved by the Academic Council & provided by the College & provided by the College | 3 |
| AEC-170/171/.../179 | Communicative Second MIL (must be different from MIL AEC- 120)/Communicative English/Other Courses, if any, as approved by the Academic Council& provided by the College | 3 |
| SEC-180/181/ 182/.../189 | As approved by the Academic Council& provided by the College | 3 |
| VAC-190/191/ 192/.../199 | As approved by the Academic Council& provided by the College | 3 |
| 20 |
*Two Courses of SUB-150 shall be from two cognate subjects, e.g., SOC-150 and ANT-150. Supposing SOC-150 is a major course, ANT-150 will be a minor course or vice versa.
(A student exiting the programme on successful completion of 40 credit courses of two semesters shall be awarded a UG Certificate only on production of a certificate from a recognized entity showing that she/he has also completed one internship/vocational/apprenticeship/community and service/field-based learning/minor project of 4 credits)
| Course Code | Course Title | Credits |
|---|---|---|
| SUB-200 | Major/Core course | 4 |
| SUB-201 | Major/Core course | 4 |
| MDC-210/ 211/ 212/213/ 214/ .../219 | As approved by the Academic Council & provided by the College | 3 |
| AEC-220/221 /.../229 | Critical Reading/ Academic Writing Skills/Other Courses, if any, as approved by the Academic Council & provided by the College | 2 |
| SEC-230/231/ 232/.../239 | As approved by the Academic Council & provided by the College | 3 |
| VTC-240/.../249 | As approved by the Academic Council & provided by the College | 4 |
| 20 |
| Course Code | Course Title | Credits |
|---|---|---|
| SUB-250 | Major/Core course | 4 |
| MDC-160/161/162 /163/164/.../169 | As approved by the Academic Council & provided by the College & provided by the College | 3 |
| SUB-251 | Major/Core course | 4 |
| SUB-252 | Major/Core course | 4 |
| SUB-253 | Major/Core course | 4 |
| VTC-260/.../269 | Vocational Education and Training Course (Minor Course)/Other Courses, if any, as approved by the Academic Council& provided by the College | 4 |
| 20 |
A student exiting the programme on successful completion of 80 credit courses of four semesters shall be awarded a UG Diploma only on production of a certificate from a recognized entity showing that she/he has also completed one internship /vocational apprenticeship/ community and service/field-based learning/minor project of 4 credits.
| Course Code | Course Title | Credits |
|---|---|---|
| SUB-300 | Major/Core Course | 4 |
| SUB-301 | Major/Core Course | 4 |
| SUB-302 | Two Major/Minor/Core Courses with four credits each | 8 |
| SUB-303 | Internship/Apprenticeship/Community engagement and service/field- based learning or minor project | 4 |
| 20 |
*Two Courses of SUB-302 shall be from two subjects, e.g., SOC-302 and ANT-302. Supposing SOC-302 is a major course, ANT-302 will be a minor course or vice versa.
| Course Code | Course Title | Credits |
|---|---|---|
| SUB-350 | Major/Core Course | 4 |
| SUB-351 | Major/Core Course | 4 |
| SUB-352 | Major/Core Course | 4 |
| SUB-353 | Major/Core Course | 4 |
| VTC-260/.../269 | Vocational Education and Training Course (Minor Course)/Other Courses, if any, as approved by the Academic Council& provided by the College | 4 |
| 20 |
| Course Code | Course Title | Credits |
|---|---|---|
| SUB-400 | Research Methodology and Proposal Writing | 4 |
| SUB-401 | Major Course | 4 |
| SUB-402 | Major Course | 4 |
| SUB-403 | Major Course | 4 |
| SUB-404 | Minor Course | 4 |
| 20 |
| Course Code | Course Title | Credits |
|---|---|---|
| SUB-450 | Major Course (For both Honours & Honours with Research) | 4 |
| SUB-451 | Minor Course (For both Honours & Honours with Research) | 4 |
| SUB-452 SUB-452 | Research Project/Dissertation (For Honours with Research only) | 12 |
| SUB-453 | Major Course/Advanced Course (For Honours only) | 4 |
| SUB-454 | Major Course/Advanced Course (For Honours only) | 4 |
| SUB-454 | Major Course/Advanced Course (For Honours only) | 4 |
| 20 |
SUB-452 shall be a course for students choosing a 4-year UG degree (Honours with Research).
SUB-453 & SUB-454 shall be practical courses for subjects with practical components.
SUB-453, SUB-454 & SUB-455 shall be advanced courses for students choosing a 4-year UG degree (Honours)
1. A student shall be allowed to change minor courses to major courses or vice versa in the third semester only. Preference shall be given to those students who have no backlogs in the first and second semesters.
2. A student shall be awarded a 3-year Bachelor's degree in single major if she/he has completed 120 credits with at least 5.0 grade points on the 10-point grading scale as per the minimum credit requirements in each course and semester of three-academic years.
3. A student shall be awarded a 3-year Bachelor's degree in a multidisciplinary programme, provided she/he has successfully completed 120 credits with at least 72 credits from core courses of three subjects, as specified below, with equal credit distribution.
4. A student securing at least 75% marks in aggregate on completion of the third-academic years shall be eligible for undertaking Honours with Research of a 4-year Bachelor's degree programme. Students securing less than 75% marks in aggregate shall be eligible for joining Honours only.
5. A student shall be awarded a 4-year Bachelor's degree (Honours) in a major subject, provided she/he has completed 160 credits with at least 5.0 grade points on the 10-point grading scale as per the minimum credit requirements in each course and semester of four-academic years.
6. A student completing 160 credits with at least 5.0 grade points on the 10-point grading scale, including Research project/Dissertation of 12 credits, shall be awarded a 4-year Bachelor's degree (Honours with Research).
7. Students opting for a 3-year Bachelor's degree in a multidisciplinary Programme shall have the option to choose core courses offered by a major subject and any other two cognate subjects as per the subject-combination groups, wherever permissible, as given below:
COURSES AVAILABLE IN THE COLLEGE
a)Social Science/ Humanities | b)Science Stream |
c)Bachelor of Commerce (Hons) d)Professional Courses : |
|---|

